首页
代数
图像
矩阵
数字
平面几何
立体几何
三角函数
解析几何
日期时间
颜色
进制
物理
电子电路
Html工具
健康
2x2矩阵加法 减法计算器
矩阵 A =
矩阵 B =
结果:
A + B =
A - B =
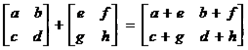
二阶矩阵加法公式
二阶矩阵减法公式
推荐
在线计算器
支持我们使用
淘宝热门爆品库
拼多多9.9包邮专场
购物支持我们。
热门工具
首页
代数计算
图像计算
矩阵计算
数字计算
平面几何
立体几何
三角函数
解析几何
日期时间
颜色计算
进制计算
物理计算
电子电路
Html工具
健康计算